Αρκετά μειωμένα ήταν τα κρούσματα σήμερα , με τον ΕΟΔΥ να ανακοινώνει μόλις 262 νέα περιστατικά κοροναϊού.
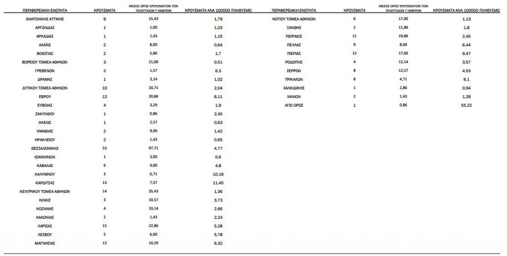
Από αυτά 53 εντοπίζονται στην Αττική και άλλα 53 στη Θεσσαλονίκη.
Οι περισσότερες περιφέρειες της Ελλάδας έχουν μονοψήφιο αριθμό κρουσμάτων, ενώ 12-14 νέα κρούσματα συγκεντρώνουν η Πιερία, ο Έβρος, η Καρδίτσα, η Λάρισα και η Μαγνησία.
Σήμερα ανακοινώνουμε 262 νέα κρούσματα του νέου ιού στη χώρα, εκ των οποίων 13 εντοπίστηκαν κατόπιν ελέγχων στις πύλες εισόδου της χώρας.
Ο συνολικός αριθμός των κρουσμάτων είναι 135114, εκ των οποίων το 52.4% άνδρες.
5316 (3.9%) θεωρούνται σχετιζόμενα με ταξίδι από το εξωτερικό και 39906 (29.5%) είναι σχετιζόμενα με ήδη γνωστό κρούσμα.
473 συμπολίτες μας νοσηλεύονται διασωληνωμένοι. Η διάμεση ηλικία τους είναι 67 ετών.
153 (32.3%) είναι γυναίκες και οι υπόλοιποι άνδρες. To 81.0%, των διασωληνωμένων, έχει υποκείμενο νόσημα ή είναι ηλικιωμένοι 70 ετών και άνω. 852 ασθενείς έχουν εξέλθει από τις ΜΕΘ.
Τέλος, έχουμε 46 ακόμα καταγεγραμμένους θανάτους και 4553 θανάτους συνολικά στη χώρα. 1843 (40.5%) γυναίκες και οι υπόλοιποι άνδρες.
Η διάμεση ηλικία των θανόντων συμπολιτών μας ήταν τα 79 έτη και το 95.4% είχε κάποιο υποκείμενο νόσημα ή/και ηλικία 70 ετών και άνω.
Η διάμεση ηλικία των κρουσμάτων είναι 44 έτη (εύρος 0.2 έως 104 ετών), ενώ η διάμεση ηλικία των θανάτων είναι 79 έτη (εύρος 24 έως 103 ετών).



